迁移试验是目前食品接触材料最常用、最重要的检测手段。迁移试验的过程对检测结果产生至关重要的影响。虽然GB 31604.1中已明确规定需要按照食品接触材料预期接触食品的温度和时间,从表3和表4中选择特定迁移试验的温度和时间条件,但在实际操作中,试验条件(温度、时间)的选择在相当大程度上受到测试人员的个人生活经验和主观感受影响,往往会带有较大的主观性和随意性。
因此,如何能更加科学的选择迁移试验条件,保证迁移试验结果的可靠性,成为各家测试机构需要认真对待的问题。
IQTC以堂食用热饮杯为研究对象,通过问卷调研方式了解食品接触产品在实际使用中与食品的接触时间;并通过巧妙的实验设计,以实测方式获取热饮杯在实际使用中与食品的接触温度,然后根据GB 31604.1-2016的规定选择适当的迁移试验温度和时间。这样能让迁移试验条件选择更加客观和科学,有效避免测试人员的主观随意性选择,得到的测试结果也将更加科学可靠。
该论文已发表在由国家卫健委主管的中文核心期刊《中国食品卫生杂志》2024年第1期,欢迎索阅。

IQTC的研究
为获得堂食用一次性热饮杯在真实使用场景下与热饮类食品接触的真实使用时间和使用温度,IQTC分别采取消费者消费习惯调研和消费场景下与食品接触温度的实测,确定特定迁移试验时所需的时间和温度条件。研究分为两部分:
特定迁移试验所需时间的研究 —— 调研法
调研方法
通过线上调查问卷、在各级学校进行的问卷调查以及街头随机抽访,对494名消费者进行了调研。
调研结果
超过95%的参与者在1小时内完成饮品消费。基于此结果,结合GB 31604.1-2015标准,特定迁移试验的时间被确定为1小时。
特定迁移试验所需温度的研究 —— 实测法
在实际消费场景中,如果环境温度高,则热饮的降温速度慢,热饮杯会在高温时间会维持更长;环境温度低,则散热速度快,热饮杯在高温时间维持较短。
环境温度的确定
实地测量15家热饮店在夏季和冬季的室内环境温度,并依据国办发〔2007〕42号《国务院办公厅关于严格执行公共建筑空调温度控制标准的通知》的要求设定26℃为研究环境温度。
本研究中利用1m3可控温控湿的标准环境舱来实现研究所需的26℃环境温度。
与食品接触温度的确定
选取聚丙烯(PP)和淋膜纸杯这两款较为常用材质的热饮杯作为研究对象;
从热饮店购买奶茶、咖啡、红茶等三款主要的热饮品种,在电热板上重新加热后灌装入热饮杯内,并分为加入奶盖和不加奶盖、扣上杯盖和不扣杯盖等消费情况进行测试。
利用自动温度测量仪,以每秒钟记录一次温度的频率,记录热饮杯接触热饮时的内壁温度变化情况,绘制不同消费场景下的温度变化曲线。
温度记录与分析
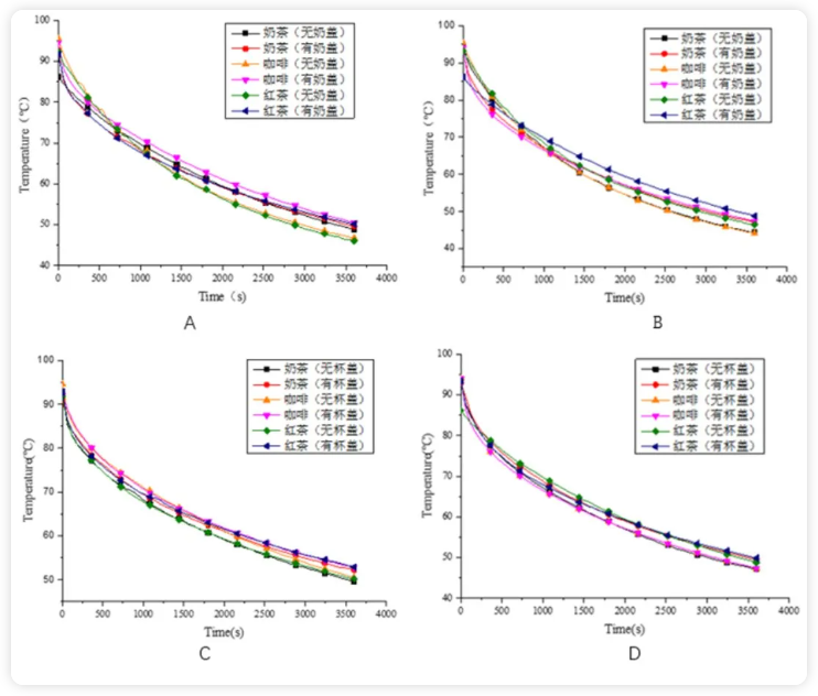
对实验中得到的温度变化曲线数据在1 h内进行积分并除以1 h时长,可得到三种饮品在不同材质热饮杯内、以及在有无覆奶盖、有无杯盖情况下,平均温度均在60~66℃之间,不超过70℃。
因此可以根据GB 31604.1-2015中表4的规定,对于本研究涉及的各款堂食用热饮杯,将特定迁移试验的温度选为70℃较为合适。

▲ 图1 两种堂食用热饮杯在不同使用情况下温度变化曲线图
(A 为淋膜纸杯在无杯盖情况下温度变化曲线;B 为PP杯在无杯盖情况下温度变化曲线;C 为淋膜纸杯在有奶盖情况下温度变化曲线;D 为PP杯在有奶盖情况下温度变化曲线)

▲ 图2 不同材质热饮杯在有杯盖无奶盖时温度变化曲线图

▲ 图3 不同材质热饮杯在有杯盖有奶盖时温度变化曲线图
结论:
基于调研结果和实测数据,研究建议将堂食用一次性热饮杯的特定迁移试验温度条件定为70℃,时间条件为1小时。这一标准既符合国家规定,又真实反映了热饮杯的实际使用情况,确保了迁移试验结果的科学性和可靠性。
本研究通过调查和实测相结合的方式,进行特定迁移试验时所需的时间和温度条件的研究,该方法也可供相关检测机构和实验室在进行迁移试验的条件选择时参考借鉴。
参考文献
[1] 张泓,隋海霞,邢航等.食品接触材料食品安全国家标准体系建设[J].中国食品卫生杂志,2022,34(05):1010-1015.
[2] 李颖超,王伟,王永强等.消费者使用食品接触材料安全状况调查研究[J].包装工程,2020,41(15):181-186.
[3] 武振.略谈消费者行为的定性调查与定量调查[J].中央财经大学学报,2003(09):61-65.
[4] 国务院办公厅关于严格执行公共建筑空调温度控制标准的通知[J].宁夏政报,2007,No.307(19):4.
作者:邹小娜
合规工具
返回顶部